首頁 風生活 台灣1公司搶冷門商機,五年成長10倍:投資眼光超精準,「滿手台積電」賺翻!專家:想買績優股一定要看
台灣1公司搶冷門商機,五年成長10倍:投資眼光超精準,「滿手台積電」賺翻!專家:想買績優股一定要看 對龍巖而言,不配息不代表吝嗇,而是一種屬於「波克夏」的資本配置。(圖/取自pixabay)
台灣正走入高齡化拐點,2031年死亡人數估達22萬、是新生兒的兩倍;同時「寵物家庭化」帶動毛孩殯葬需求飆升,政策鬆綁後產業加速擴張 。財政部數據顯示,2023年殯葬業營收244億元、五年增逾9%,業者數亦增一成,主力仍在殯葬禮儀,但寵物殯葬五年近十倍成長最搶眼 ...
根據內政部統計顯示,預估2031年台灣死亡人數可能來到22萬人,會成為當年新生兒數的兩倍之多,已經不是「生不如死」能夠形容,與此同時,寵物「家庭化」趨勢也來臨,少子化之後,寵物開始成為家庭的新成員,因此帶動毛小孩殯葬服務需求大幅增長,於是農業部在2023年以後,也陸續放寬寵物殯葬服務的合法設立門檻,吸引更多業者投入這一新興市場。
(圖/取自玩股網)
從財政部統計處的數據來看,2023年台灣殯葬業總營收為244億元,從2018年起算到2023年,近五年累積成長約9.1%,每年殯葬業者也不斷增長,從4,114家成長到4,524家,近五年累積成長約10%。
整個產業的重點就在殯葬禮儀服務為主,2023年營收155.8億元,貢獻整個行業63.9%的銷售額。另外是寵物殯葬服務(即寵物屍體處理),這算是這幾年才興起的產業,2023年營收大約是1.3億元,不過近五年規模成長將近十倍,已經成為產業中增幅最快的區塊 ,另外業者也從6家增加到33家,慢慢開始有企業開始切入這個市場。
接下來幫大家找找殯葬業概念股,其實台灣就兩家,分別是龍巖跟天品 ,不過因為兩家營運模式都很雷同,所以先以龍巖當作代表,幫大家拆解經營模式以及轉投資策略又是如何。
龍巖(5530):本業穩健、資產龐大、資金滿載 我們直接從投資講起,因為公司透過高市占的生前契約收進現金之後,其實就跟保險業很像,只不過保險業投資能力平均水準都不太好,只會符合規定的情況下,拿去買一堆美債跟國債,真的是非常混,這我之前強調很多次了,相對於龍巖投資,真的是要好好學!
因為生前契約也等同於滿手浮存金,最有名的絕對是彰銀案,當初創辦人李世聰看好彰銀,一度買到逼近10%,本來是想長期投資領彰銀的配股配息,甚至希望買到25%,結果最後被捲入台新金跟財政部的糾紛,乾脆「憤而離席」,隨即轉往台積電,龍巖在2020年以每股275.1元的價格買進1,121張台積電,李世聰在2013年就已經以台灣第41大富豪以及亞洲最佳中小企業代表,你應該就知道老闆很不簡單了吧?投資眼光不只精準,也信奉長期投資績優股所帶來的好處,而且當初買彰銀,他只希望每年賺5%就好,這跟我過去十幾年來的投資原則也是不謀而合,所以個人也相當欣賞李董的投資策略。
(圖/取自玩股網)
如果是韭菜,台積電買300元以下,看到股價破千早就亂賣了,不過龍巖確實是言行一致,2020年買的台積電,到現在一張未賣,這才是真正投資家的風範,另外公司也長期投資廣達約279.99張、群光32.76張,這些股票也都漲翻天了呢。
(圖/取自玩股網)
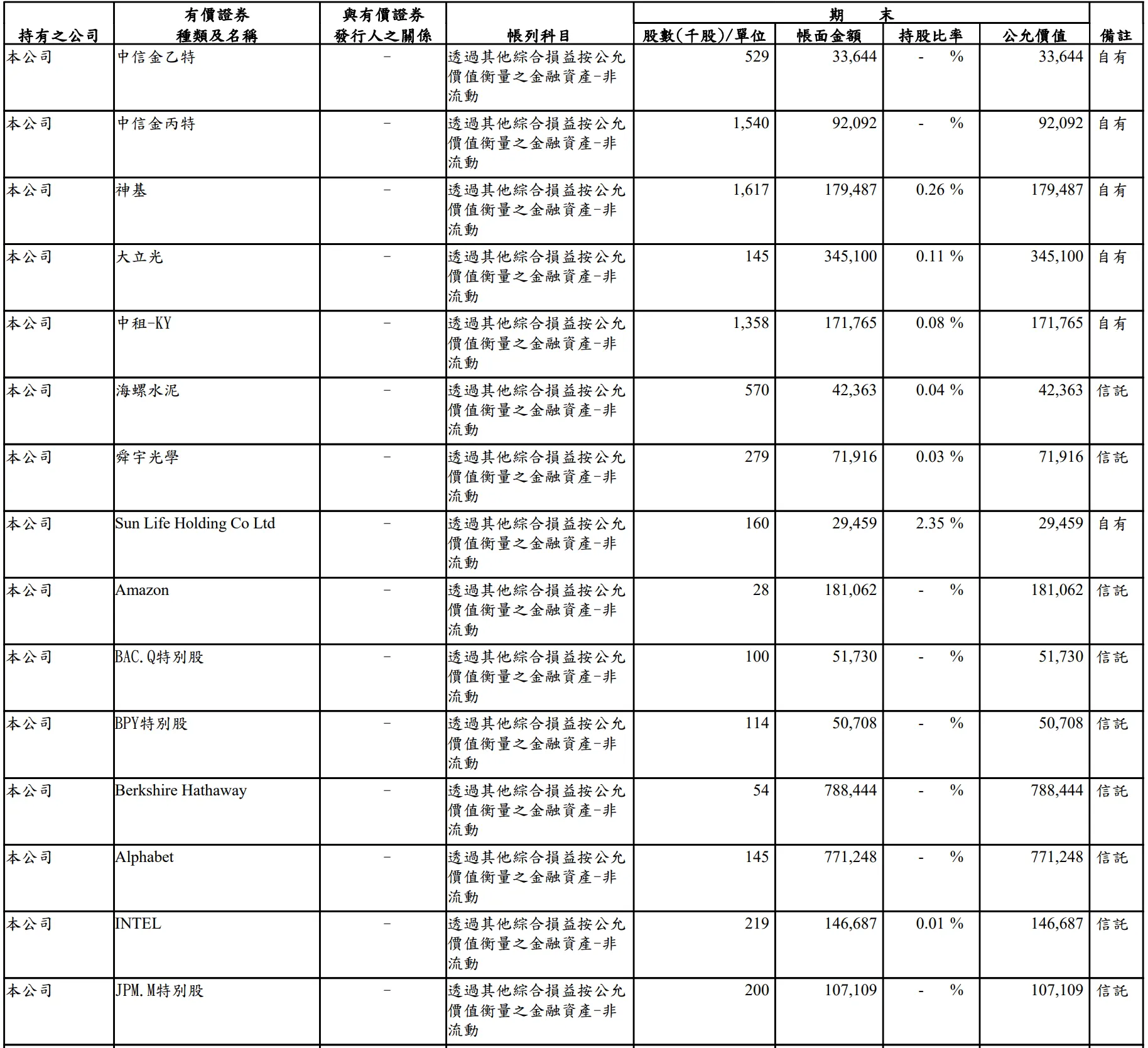
而且不只如此,龍巖也投資神基、大立光、中租-KY等大型股,另外美股則包含Amazon、Alphabet、Berkshire、Intel、JPM等大型藍籌,甚至卡位一些CD&R、Blue Owl、EQT、KKR、Hamilton Lane、NB Secondary等私募或二級基金,海內外的績優股通通一把抓,而且部位都不是什麼一張兩張,持有部位都是幾千萬到幾億等級的,這當然更不可能亂搞。
(圖/取自玩股網)
龍巖投資包含「 股票+私募+基金 」的組合,是不是應該教教國內保險業者了呢?甚至退撫基金都應該多學幾招!從整體金融資產來看,短線為主的有45.33億元,長期投資的有91.26億元,所以公司收到一堆資金,在高齡化的趨勢之下,生前契約兌現時間拉得更長,公司當然就能長期投資賺到更多的資本利得, 甚至股息也是幾千萬元在領,也不會像壽險業常常亂買或滿手債券 ,整天被金管會跟愛買投資型保單的大眾碎碎念,搞不好在契約變現以前,公司股息早就已經足夠應付合約兌現,根本就不需要處分資產,再加上龍巖本來就有滿滿的不動產,這絕對是抗通膨又具備投資能力企業的最佳典範之一。
(圖/取自玩股網)
接著回到營收組成來看,你可以看到雙引擎很清楚,目前塔位跟墓園貢獻約4成,另外禮儀服務約5成,另外還有殯葬相關的物業租賃、陵園經營及營建收入,這種型態的營運模式,當然幾乎沒有什麼景氣因素,甚至還會因為土地通膨漲價而受惠賺更多。
(圖/取自玩股網)
再看到市占率,2024年生前契約市占率一路攀升到80%以上,品牌滲透夠深,加上這幾年賣生前契約的詐騙案持續被踢爆,這種上市大企業當然更具有可信度,大家要選也會選大品牌, 而且公司超級會投資,獲利滿檔到幾乎不可能倒閉,所以只要有人想買生前契約,幾乎想都不用想,直接無腦買龍巖。 另外是合約負債高達420億元,這些就是前面說的浮存金啦,因為這些錢主要就是來自生前契約跟塔位的預購,如果高齡化越來越強,那麼龍巖就有更多時間可以拿這些錢進行投資,滾出更驚人的複利。
(圖/取自玩股網)
接著來看看龍巖據點,這當然也是全台佈局,公司目前有多座陵園、生命紀念館及禮儀服務處,把塔位做到變成連鎖品牌,甚至跨區服務,台灣也只有龍巖能做得到,再加上陵園用地、環評及地方協調的門檻越來越高,畢竟土地資源有限,這也成為公司難以被同業超越的超級護城河。
(圖/取自玩股網)
最後再來看看未來五年資本支出,預計會砸下新台幣170億元,橫跨台灣與中國,裡面資金有79%用在塔墓建設,19%做不動產開發,主要是南港車站的土地開發案,這等於從死人服務賺到活人商機,這看起來很嚇人,但如果看到前面420億元的訂金,周轉過來投入,其實也是一塊小蛋糕而已,另外2%用來升級禮儀場域與資訊系統,換算170億元等於要砸下3.4億元升級,這就可怕了喔,地方小間的殯葬業每年營收都不知道有沒有破千萬,結果龍巖光是一個設備升級就海放人家幾十年以上的營收。
連配息政策都師法波克夏累積 (圖/取自玩股網)
現金股利在 2018–2022 年有配,但近年走低甚至空窗。表面上殖利率不好看,但換個角度:公司選擇把本來要發掉的現金,轉做擴建(塔/墓、不動產)與長期投資(先前你給的 K/L/M 明細可見台積電、國內外藍籌與多檔 PE/二級基金)。如果這些投入的內部報酬率>股東把股利領回自行再投的報酬率,那麼不配息反而提高了長期總報酬。
(圖/取自玩股網)
粉紅線的股東權益近年持續增加,而下方資料顯示股本維持在約 42 億股,沒有靠大舉增資去墊高權益。也就是說,權益成長主要來自保留盈餘+投資收益,不是灌水;不配息讓留存現金變投資彈藥,推著權益總額與每股淨值同步往上。
(圖/取自玩股網)
這張圖最直觀:2014 到 2025Q2 的每股淨值一路墊高,最新約 62.76 元。即便股價有波動(例如 2025Q1 到 Q2),內在價值仍持續上升。這代表公司把盈餘留在體內、拿去擴建與投資,讓「每股」可以分到的淨資產年年變厚—不配息,換來的是更快的淨值複利。
龍巖的「波克夏模式」資本配置策略 對龍巖而言,不配息不代表吝嗇,而是一種屬於「波克夏」的資本配置 ,因為公司將生前契約的低成本訂金留在公司,先把錢優先投入塔位、墓園擴建及優化,剩下的錢再拿去長期投資績優股,最後滾出更大的複利,投資人只要持續檢核每股淨值是否創高、投資回報是否高於資金成本、以及擴建能否快速轉化為營收與現金流,若答案都為肯定,長期總報酬自然會在每股淨值與市值上說話。
還記得一堆人在吵台股配息要繳稅嗎?並推崇美股不配息超讚,其實台股的龍巖已經好幾年不配息了,而且長期投資的績效還不錯,所以這屬於不配息的冷門績優股,這根本不是台股或美股問題,而是自己研究能力不足對吧?
至於想投資有配息的冷門績優股,你可以參考延伸閱讀的文章。
本文內容僅供參考,無任何買賣建議,投資人應謹慎評估,風險自負。
更多新聞請搜尋🔍風傳媒
因為你,我們得以前進,你的支持是我們的動力
贊助風傳媒
更多文章
柯文哲案北檢抗告四度成功機率?游盈隆嘆太早喊苦難已過:他和賴清德對賭了 民眾黨前主席柯文哲因京華城案、政治獻金案被羈押禁見一年,8日以7000萬元交保步出台北看守所,但台北地檢署(北檢)隨即列出包含接觸證人等5大理由正式提出抗告,柯文哲的動態備受各界專注。對此,台灣民意基金會董事長游盈隆10日在臉書以「這難道是柯P的一場政治豪賭?」為題指出,他評估北檢抗告成功的機率是一半一半,能否把柯文哲「再關起來」,是具有高度政治效應的法律問......
普發現金1萬終於確定!行政院今通過,發放時間、5大領取方式、代領規則一次看 行政院會今(11)日會中通過「韌性特別預算案」,其中編列2360億元作為普發現金經費,每人可領取1萬元。若順利三讀並在10月上旬公布生效,最快10月下旬就能發放;領取截止時間部分,一般民眾為明年4月上旬,新生兒領取時間則為明年5月上旬。2025普發現金一萬元領取方式有哪些?代領規則為何?誰可以領?《風傳媒》為大家一次整理。2025全民普發現金一萬元何什麼時候......
99.99%外送安全率!foodpanda 「ALERT」五階段素養體系 共創道安再升級 德商 foodpanda深耕臺灣道路安全已邁入第六年,不僅致力於提升外送夥伴安全服務的穩定度,更積極響應政府交通安全月,守護用路人安全。延續「360安心計畫」的全方位守護,今年首度完整公開升級版「ALERT」五階段道安素養體系,展現外送夥伴們的安全意識、以及成為「道安守門員」的使命感,期望為臺灣的道路提供更安全、友善的行人環境。中華民國交通部公路局局長林福山......
天氣預報》要變天了!入秋首波東北季風報到,專家曝「這天起」氣溫驟降轉雨 儘管時序已進入九月中旬,但台灣各地仍持續籠罩在夏季的悶熱天氣中。氣象專家表示,受到太平洋高壓的影響,未來一週的高溫炎熱與午後雷陣雨型態將會持續,局部地區甚至可能飆破36度。不過,這樣的天氣將在下週末(20、21日)迎來重大轉變,入秋以來第一波東北季風預計南下,屆時北部及東半部不僅將明顯轉涼,降雨機率也會大幅提高。
高溫炎夏再一週!週末東北季風報到,變天有感......
機車族注意了!最新交通規定上路「違者禁騎加罰3500元」,很多車主還不知道 為維護空氣品質,政府規定機車要依規定進行排氣定檢,以台北市為例,燃油機車登記數就有約82.3萬輛。截至今(114)年7月,台北市還有3.64萬輛機車尚未完成定檢,對此,環保局提醒,機車車主應盡快完成排氣定檢,否則根據《空氣汙染防制法》,逾期未定檢可處500元罰鍰,最高可加重裁罰至3000元,還可能註銷牌照,禁止上路。環保局說明,截至今(114)年7月,設籍臺......
沒沾到AI就「BI」?台積電ADR新天價 謝金河看台股飛高高:恐掀政壇地震 AI時代來臨,在美國聯準會(Fed)降息機率提升,美股標普500指數、那斯達克指數周三再創新高,其中最引發關注的是美國大型科技公司甲骨文 (Oracle)飆漲近36%。對此,財信傳媒董事長謝金河今(11)日一早在臉書指出,美國股市收盤,最突出的亮點集中在甲骨文、博通(Broadcom)及台積電Adr三家公司。甲骨文股價大漲86.82美元,漲幅35.95%,最......
台股年底上看28000點?台積電、鴻海還能買嗎?專家曝進場時機:目標價上看「這數字」 台股在 AI 浪潮助攻下屢創新高,第四季行情備受期待。資深分析師杜金龍在 《鈔錢部署》節目中表示,今年不會有「九月魔咒」或「中秋變盤」,台股將持續走在主升段,預估年底前有機會上看 28,000 點。此外,他點名台積電、鴻海、台達電是三大必買標的,並針對蘋果概念股及老AI股的後市進行詳細分析,為投資人提供最新的布局策略。台股年底上看28000點!杜金龍:三大股......
解密ASML》與台積電合作曾碰一鼻子灰?半導體作家揭「曝光機霸主」用1招收服神山 在AI浪潮推動下,半導體需求急速擴張,美中科技角力加劇,供應鏈版圖正被重塑。荷蘭半導體設備巨擘艾司摩爾(ASML) 是這場全球科技競局中最關鍵的玩家。荷蘭《新鹿特丹報》資深科技記者馬克・海因克(Marc Hijink) 追蹤ASML逾10年,獲准深入無塵室並旁聽高層會議,訪談全球超過300位關鍵人物,紀錄ASML如何從新創躍升為半導體產業核心。他的觀察集結......
台海解碼》第一島鏈將成中國內海?北京93閱兵「這些武器」對美台傳遞危機訊號 中國大陸上週舉行「93閱兵」,展示陸、海、空無人作戰武器及多款超高音速導彈、反艦飛彈。對此,國防安全研究院副研究員舒孝煌向《風傳媒》分析,中國大陸這些武器都在告訴美國說,「我今天有能力把你推出第一島鏈」,美國的航空母艦根本無法越雷池半步,甚至台灣東部的作戰基地,都可能被共軍長程武器打擊,看完93閱兵之後,可以想見台灣的壓力非常非常大。共軍無人機設計仿照美國?......
歷史上的今天》24年前,那場讓世人震驚的911事件突然發生 將時間倒退回2001年9月11日,本應該是一個在普通不過的上班日,美國和全世界民眾卻在這一天,透過攝影鏡頭目睹見證了一場駭人的恐怖襲擊,先後兩架民用客機,直直地朝向美國紐約市(New York City)中心地標、世界貿易中心雙子星大樓(Twin Towers of the World Trade Center)衝撞,強大撞擊與劇烈爆炸,讓兩棟摩天大樓最終徹......
房市多頭重新開始了?專家揭公股行庫困境:政府壓力下賺利差非常小的貸款 民眾想買房卻貸不到款,行政院長卓榮泰日前喊話希望銀行放款「水龍頭開大點」。對此,財經作家游庭皓在節目《財經風向球》表示,卓榮泰現在要求八大行庫「把水龍頭開大」,但央行在9月份卻說「自己挖水井」,這其實凸顯了央行在兼顧金融穩定的前提下,希望能降低房貸集中度,避免放貸過度集中於房市。若央行要維持其獨立性,就必須考量這個問題,如果真的放寬第七波信用管制,第二戶房貸......
幕後》中國93閱兵有嚇到國軍!對付台灣2項新武器 「量大管飽」還抓不到 9月3日中國為紀念「抗日戰爭暨世界反法西斯戰爭勝利80周年」,在北京天安門廣場舉辦規模盛大的閱兵,解放軍及武警部隊共組成45個方隊,從地面及空中接受校閱,相對於2019年建政70周年國慶的閱兵,2025年93閱兵展示的新式裝備更多,充分體現共軍朝全領域發展新質戰力的成果,不但吸引全球軍情圈高度關注,也讓美國、西方及日本軍方在震撼之餘,免不了要對共軍真實戰力、......
「MAGA」國師之死:川普「頭號盟友」、保守派領袖柯克校園演說遭槍殺,美國全國降半旗哀悼 在美國極具影響力的保守派青年運動領袖、美國「轉折點」組織(Turning Point USA)創辦人查理・柯克(Charlie Kirk),美西時間9月10日週三中午在猶他谷大學(Utah Valley University)的戶外演說時,遭人當場開槍射殺,送醫後宣告不治,得年31歲。這起光天化日下的「政治暗殺」震驚全美,美國總統川普悲痛發文悼念,聯邦調查局......
台股連寫3日新天價,還能衝高嗎?分析師揭「這指標」要仔細看:續漲必要條件 受到美股激勵,台股也在資金行情帶動下,連3天改寫新高。而證期雙照分析師翁偉捷在節目《財經起床號》提到,台股在外資的帶動下持續往上創高,且外資買超的力道大於漲點,表示買盤力道有回溫的現象,也可以從新台幣的升貶觀察外資進出的狀況,在外資積極買盤持續一周之下,讓新台幣止貶回升,資金流入台北股市。
翁偉捷提到,9日的成交量超過5千億值得關注,8月初之後有滾量行情,......
「二戰後最接近戰爭的一次!」俄軍無人機多波夜襲波蘭,北約戰機首度開火攔截 波蘭領空9日晚間遭多架俄軍無人機入侵,華沙當局隨即與北約(NATO)防空部隊聯手將其擊落,這是自俄烏戰爭爆發以來,首次有北約成員國對俄羅斯相關行動開火。波蘭總理圖斯克(Donald Tusk)10日表示,這是「二戰以來我們最接近公開衝突的一次」,但同時強調「沒有理由相信我們正處在戰爭邊緣」。2025年9月10日。在波蘭華沙的總理辦公室,波蘭武裝部隊參謀總長庫......
風評:請賴政府放下屠刀,饒了台灣的好山好水 上周環境部發函風電業者,對在東部海岸建風機表達環境部「不鼓勵也不支持」的態度。這是值得肯定與鼓勵的事,因為民進黨政府終於有一個部會,從長達近10年狂熱、躁進、不理性、到處破壞生態環境的「綠電大躍進」中清醒過來。但這還遠遠不夠,整個賴政府與民進黨,都該從這場「非理性躍進」中醒過來了。台亞風能公司規畫要在台東海岸設58座陸域風機,在計劃提出後即引發地方強烈反彈,......
連美國態度都不用顧了?以色列防長嗆聲、「卡達只是示範,我們會在世界任何角落打擊敵人!」 以色列針對居住駐卡達(Qatar)的哈瑪斯(Hamas)領導層發動攻擊,此舉不只震撼全球,也讓最挺他們的美國總統川普(Donald Trump)罕見公開斥責,但華府不滿情緒,似乎沒有影響以色列政府的強硬立場,反倒讓妥協空間一點一點地消失,甚至喊出他們會在全球「任何地方打擊敵人」。《金融時報》(FT)報導提到,當聽聞以色列對卡達發動襲擊,並造成現場6人死亡,川......
王義雄觀點:中國大閱兵在「不戰而屈人之兵」 2025年9月3日,中國大陸隆重舉行「紀念中國人民抗日戰爭暨世界反法西斯戰爭勝利80週年大會」,並在天安門廣場進行盛大的閱兵儀式。此次閱兵不僅展現了解放軍的最新軍事實力,更傳遞出中國在國際舞台上的強硬姿態和民族復興的戰略決心。與此同時,民進黨政府在抗日戰爭話語權上的失落,乃至對歷史的刻意扭曲和對外政策的偏頗,形成了鮮明的對比。民進黨政府不僅未能在國際社會上積......
桂宏誠觀點:「終戰」已法律化且國民黨是推手 今年5月底公布施行的《紀念日及節日實施條例》中,才新定了8月15日為「終戰紀念日」,此為原由內政部主管及訂定的《紀念日及節日實施辦法》所無。因此,賴清德只提「終戰」而不提「抗戰」雖飽受批評,但恐怕連他自己也不知道,這樣的說法竟然符合法律的規定。國民黨力推法定的終戰紀念日國民黨主席朱立倫對賴清德的「終戰」說,指責是用戰敗國的口吻形容抗戰勝利,並痛斥為「國人之恥......
林繼周觀點:賴清德的末日心態,台灣人的垃圾時間 在我看來,大罷免是一場極為成功的政治鬧劇。以政治上所產生的效果來說,羈押柯文哲這件事比起大罷免來也不遑多讓。我們中華民國台灣每兩年舉辦一場中央和地方選舉,如果中間加上罷免前一年選出的代表,那麼便等於年年都可以享受嘉年華會般熱鬧的全民投票遊戲。我們的執政黨藉著不斷操作虛無荒誕的議題,就可以叫在野黨、媒體和關心政治的公民把大量的時間和精力浪費在毫無意義的情緒和口......
林仁斌觀點:日本並未核電復興,台灣更不必走回頭路 擁核人士常以「經歷過那麼嚴重核災的日本,還不是推動核電重啟,並且讓老舊核電廠持續運轉?」來論述日本核電的復興。然而,這種說法並不正確,更不是事實。日本核電的真實現況是「在2011年311福島核災之前原本有54座核電機組運轉,但如今僅有14部機組已經重啟運轉,24部核電機組已進行除役作業或決定除役。其他的機組正面臨當地居民的反對運動,未能重啟」。事實上,日本2......
林基興觀點:釐清「核食」恐慌的虛實 日昨,衛生福利部預告廢止「停止輸入查驗之日本食品品項別及其生產製造地區」草案,回歸源頭管理及邊境管制。但有些國人認為連日本人也不放心福島食品,甚至發生偽造產地標示的事件。在我國,十年前有些大賣場出現竄改產地標示的貨品。若要放寬,以後更得擔心「核食」嗎?把福島等五縣食品稱為「核食」實在是情緒用語,因意味其輻射劑量超標而不安全。但輻射充斥地球上,你我也釋放輻射,......
徐宗懋觀點:檢察官面前人人並不平等─駁斥最高檢察署似是而非的聲明 菱傳媒董事長、法律學者施威全因批評京華城案遭到檢方以證人「約談」,他以個人經歷在媒體發表專欄文章,批評檢察總長邢泰釗辦案有主演角色,其子弟兵檢察官亦然;9月9日,最高檢察署聲明反駁,針對法律專家施全的批評文章,提出反駁聲明。最高檢察署強調,「…該(施)文嚴重誤導社會視聽,最高檢察署及總長本人,從未接觸或參與該文所述相關事由。….,每一個人,不論民衆、公務員或......
觀點投書:違法亂編計畫預算TaiwanPlus當然會墮落 前TaiwanPlus主管艾永青發表社群長文My Taiwan Great Recall,指責因自己報導未能百分之百符合政府的敘事,為他和同事帶來無盡的痛苦與折磨,最終選擇辭職並離開台灣。TaiwanPlus官方表示若有違反新聞自律、製播規範等,均依照相關辦法處理,是一個「依法行政,謝謝指教」的回應。國、眾兩黨則各有立委受訪表示,預算會期將嚴格檢視Taiwa......
觀點投書:卓揆為誤稱「凍結」預算為「刪除」道歉,自證賴政府「指鹿為馬」? 秦二世胡亥在位時,權臣趙高透過「指鹿為馬」以顛倒是非、禍亂朝綱;當今的賴政府,行政院長卓榮泰針對「指預算凍結為刪除」之事向質詢的藍委致歉,頗讓人有古今輝映之感。立委刪預算以監督政府本來就是天經地義各位想想看,綠營政客及親綠罷團之前不是一直拿所謂「藍白亂刪預算」當成對藍委大罷免的宣傳嗎?卓揆的「心虛」道歉,充分證明這些有心人士罷免理由的很多部份不只是毫無正當性......
蔡維哲觀點:台灣穩定幣發展的前瞻思維 穩定幣崛起:從數位資產到貨幣戰略武器國際貨幣基金組織(IMF)最新研究揭示了一個重要趨勢:穩定幣正在重塑全球金融格局。這項技術不僅提升了跨境支付效率,更加速了「數位美元化」的進程,儘管同時也帶來金融穩定與資本流動的新挑戰。當我們看到Tether公司發行的USDT已累積逾千億美元美國短債作為儲備,並在全球範圍內被廣泛使用時,一個清晰的事實擺在眼前:穩定幣已經超......
杜紫宸觀點:台灣如何看待穩定幣─在風險與機會之間尋找定位 在比特幣、以太幣等虛擬資產價格劇烈波動的世界裡,「穩定幣」(Stablecoin)被視為一種橋樑,既能保有加密貨幣的便利性,又能降低價格起伏帶來的不確定。過去幾年,無論是散戶投資人、金融科技公司,甚至國際清算機構,都開始關注穩定幣如何改變支付與金融秩序。然而,當美國、新加坡、日本、香港紛紛祭出監管框架之際,台灣卻仍停留在「觀望」與「防弊」的姿態。這樣的保守,......
柳金財觀點:宜風電力抗爭凸顯臺灣能源政策轉折分水嶺 長期以來,臺灣各地光電場與陸域風機亂象,備受地方民眾所詬病,致民眾環境社會抗爭持續不斷。近日因宜風電力在宜蘭縣五結鄉、蘇澳鎮,擬規畫設置14部風力發電機,致當地社區民眾前往行政院前抗爭表達其民意訴求。為此,經濟部與環境部同步發公文給風電業者,前者提醒開發案要與在地溝通、審慎評估規畫場址;後者則表態「不鼓勵、不支持」設陸域風機,且將對環評案嚴審把關。這凸顯民進......
觀點投書:國民黨讓年輕世代領導,否則繼續在野吧! 今天國民黨要選黨主席,參選人眾多,好不熱鬧。不妨先想一想,國民黨在台灣已經失去中央執政五次了,有得到什麼教訓與反省嗎? 過去國民黨在總統選舉敗選五次,幾乎都與黨主席是否昏庸、無能與自私有關。誰當上了黨主席,掌握了黨機器與選舉的提名權,就是為自己邁向總統大位而鋪路。想起2014年底的九合一大選,是台灣政治史上最大規模的地方選舉,選舉結果,國內地方執政版圖巨幅震......
觀點投書:外國人看清臺灣問題,政府卻還在虛與委蛇 以前我們常聽到「崇洋媚外」這樣的成語,一直到現在個人對於這樣的話還是深有同感,但是觀點卻不同了。之前是盲目崇拜與跟隨外國文化,但是現在卻覺得外國人可能因為立場與角度的不同,所以才能真正點出我們的問題。這是值得肯定的事情,只是在面對這些指責或問題時,我們政府的態度卻還是虛與委蛇,令人難以認同。最近讓大家覺得最難以接受的就是「大罷免」的出現,因為這是近年來破壞民......
觀點投書:安全優先於民粹,支持蔣萬安做對的事 近期,台北市長蔣萬安推動拆除公館圓環,引發社會討論。筆者也注意到,罷團在大罷免失敗後將「公館圓環」視為延續火種的新戰場,將本該專業討論的交通安全議題,視作情緒投射的標靶。筆者不禁想起一年多前,北市府無懼「文化記憶」的情緒勒索,堅持為「保障市民安全」而拆除和平新生天橋時,如今被證明是正確抉擇。在安全這樣的關鍵問題上,筆者支持蔣萬安市長與市府交通團隊堅持做對的事......
觀點投書:東海學生死亡車禍觀庭記 8/27台中又發生一起殘酷車禍:賓士車先撞傷88歲拾荒老婦,再輾壓下半身離去。非常類似一年前巨業巴士壓死東海學生車禍。為關心東海案,筆者向媒体界探聽法院開庭時間。於8/13特從台北專程到台中地院旁聽開庭,看到案情仍是膠著,檢察官只起訴過失殺人,但死者律師則主張蓄意殺人,指稱:「車禍分四階段,司機撞人後,下車查看再上車向前開把人壓死(第三階段),再倒車重複輾壓......
觀點投書:效能、公平與回應的缺席─談公七公園警消大樓爭議 不同於許多存在都市中的人造公園,淡水公七公園擁有原始自然生態的森林,因此被稱作「淡海之肺」,但新北市府卻選址在此興建警消共構大樓,這將破壞這片得之不易的都市綠地,也引發了淡海居民反彈並組成自救會。地方上的行動,繼當地的鄭宇恩市議員於8月2日邀集新北市政府各局處與公七公園自救會召開地方說明會後,8/17上午自救會也同荒野保護協會及環境法律人協會共同舉辦「公七自......
女性主義者對被困在廚房的憤怒:《傅培梅、戰後臺灣與20世紀中華料理》選摘(3) 就在傅培梅暗暗爭取對自己收入的掌控權時,一些臺灣女性已準備要將爭取婦權這件事推上檯面。呂秀蓮在一九七○年代成為臺灣新興的女性主義運動的領袖,並因此聲名大噪。呂秀蓮在二戰快結束時出生於桃園,具有閩南人與客家人血統。她成績優異,一九六九年從國立臺灣大學法律系畢業,接著取得研究生獎學金,花了兩年在美國伊利諾大學厄巴納—香檳分校攻讀法學碩士。在這段關鍵的成長歲月裡,......
「萊爾校長選輸卻續兼黨務」 童仲彥酸賴清德史無前例:了不起、不負責 民眾黨前主席柯文哲捲入京華城弊案,被羈押長達1年,日前才獲得交保。對此,前台北市議員童仲彥今(10)日在節目《中午來開匯》直言,該案爭議核心在於《都市計畫法》第24條屬於地方政府的職權,卻因監察院的錯誤見解,檢方跟進辦案,讓柯文哲淪為「被關王八蛋」,背後恐怕另有「神祕力量」操控。他更大酸,民進黨早已變了,總統賴清德選舉輸了卻還繼續兼任黨主席,「了不起、不負責......
蘋果備貨破億支!富士康鄭州廠iPhone 17產線近滿產 20萬員工日夜趕工 蘋果今(10)日凌晨正式發布iPhone 17系列新品,作為全球最大蘋果生產基地的富士康鄭州廠區,也在產品發布記者會前夕全面進入產能爬坡階段。據陸媒探營報導,廠區目前約有20萬名工人,採兩班制日夜趕工,產線開動率已達8至9成,主要產能均已轉向iPhone 17系列,全力衝刺生產。據陸媒《界面新聞》報導,記者9月6日探訪鄭州港區招募中心時看到,大批求職者拖著行......
普發1萬快到手了!政院明將通過「特別預算」 最快這時候就能入帳 行政院預計於11日院會通過《因應國際情勢強化經濟社會及民生國安韌性特別預算案》,除了支持受關稅衝擊的產業之外,也包含各界關心的普發現金1萬元。行政院長卓榮泰日前表示,行政院會通過特別預算後,可立刻送交立法院,待立院9月中開議後若順利排案審查,最快10月就可以開始領到普發1萬。總統府5日公布總統令,公告特別條例修正條文,將經費上限從5450億元增至5700億元......
感謝所有不放棄的農民!雲林文旦封櫃,張麗善:讓世界看見「雲林良品」的堅強實力 在歷經月前的風災水患後,雲林農業不等喘息,選擇用行動證明承諾。雲林縣政府今(10)日舉辦「雲林良品」裝櫃記者會,將一箱箱挺過風雨的文旦與香蕉,封櫃啟航新加坡。縣長張麗善在現場感性地說:「感謝所有不放棄的農民朋友!這次的出口,就是要讓世界看見『雲林良品』最堅強的實力與韌性。」張麗善表示,雖然先前風災讓文旦、香蕉等作物蒙受損失,但在農民的堅持與合作廠商的努力下,......
中市府抽選115年備選國民法官 初選名冊逾1.4萬名 國民法官制度即將邁入第3年,台中市政府10日自全市逾229萬名符合資格市民中,以電腦隨機抽選出1萬4,400名備選國民法官,造具115年備選國民法官初選名冊。台中市民政局長吳世瑋表示,凡年滿23歲並在地方法院管轄區域內連續居住4個月以上的國民,皆具備被選任為國民法官或備位國民法官的資格,此次初選中籤率約千分之六,名冊將透過安全加密的電子資料傳輸方式提供台中地......
週末去哪玩?2025雲林古蹟日帶你看表演、逛市集,還有6條「文資散策」路線等你探險 準備好迎接一場文化與藝術的盛宴了嗎?「2025雲林全國古蹟日」即將在下個週末(9月20日、21日)盛大開跑!今年的主場,就在剛榮獲亞太永續行動金獎的「虎尾建國眷村」,更串連全縣26處文化場域、推出6條散策路線。本文為你整理了一份完整的活動懶人包,讓你輕鬆玩轉這個充滿故事的古蹟週末。今年古蹟日的核心舞台,就在獲獎連連、已摘下15座獎項的「虎尾建國眷村」,這個週......
素人舞台夢起飛! 台中購物節「就是愛購物」徵件今開跑 20項獎、10萬元獎金等你來挑戰 人人都有機會成為Super Star!一年一度的台中「週年慶」台中購物節將於10月下旬登場,為讓粉絲先睹為快、提前暖身,今年「就是愛購物」徵件競賽即日起率先起跑,開放報名至9月30日止,只要你有創意、有熱情,對於台中購物節的任何想法,無論是歌曲、舞蹈、表演、詩詞書畫,都歡迎踴躍報名。經濟發展局長張峯源表示,今年為鼓勵素人勇於圓夢,獎項增至20組,冠軍獎金10......
台波商會率波蘭團佈局南台灣,串連嘉義無人機與台南半導體,打造歐洲新戰線 台灣的科技產業,如何組建「國家隊」打國際盃?台波商會(TAIPO)正給出一個漂亮答案。在本週,由台波商會長趙忠傑博士親自率領波蘭代表團,旋風式走訪嘉義與台南,成功串連起「南台灣科技廊道」的兩大引擎,為台灣的歐洲戰略,下了一步關鍵活棋。TAIPO的戰略藍圖:鎖定「南台灣科技廊道」長期以來,國際目光習慣性地聚焦於新竹科學園區。然而,TAIPO以其精準的產業洞察,......
施威全評柯文哲案被約談 蕭旭岑點名這2人推動修法:限制檢方恐嚇辦案 《菱傳媒》董事長施威全指控,檢方因他撰寫京華城案評論文章就傳喚約談他;北檢則回應,威京集團總裁沈慶京曾提到「拜託施威全寫文章」,不久後他就確實刊文在媒體上,與案件時機點重疊,檢方認有必要以證人身分傳喚釐清。對此,馬英九基金會執行長蕭旭岑怒轟,檢方的作法根本是在恐嚇一般老百姓。蕭旭岑在民眾黨節目《民眾之聲》上表示,他身為施威全的好友,看到他的聲明深感痛心,檢察......
「我們等不了太久!」菲防長大讚韓國軍武便宜耐用,偷吐槽F-16交貨時間太長 南韓已成為菲律賓軍事現代化不可或缺的防衛夥伴,提供包含FA-50戰機(FA-50 Fighting Eagle)等核心裝備,讓馬尼拉(Manila)能快速提升自家軍隊戰力,甚至讓菲律賓國防部長親口誇讚,不僅要設法深化這段關係,同時還悄悄吐槽抱怨另一個潛在的合作夥伴:美國。菲律賓國防部長特奧多羅(Gilberto Teodoro)日前接受《韓國先驅報》(The......
《台灣失智症風險因子管理白皮書》年底公開 40歲起是預防黃金期 肥胖、三高等慢性病都與失智症息息相關?國衛院今(10)日宣布,即將於今年底(2025)發布首份《台灣失智症風險因子管理白皮書》,呼籲40歲起即為失智預防的黃金期,需及早控制14項可控風險因子,且其中多項都跟慢性病相關,包括肥胖、糖尿病、高血壓、低密度脂蛋白膽固醇過高等,透過積極落實健康管理,將可有效延緩甚至預防失智的發生。國衛院高齡研究中心失智研究與防治專家......
菲律賓緊急喊停F-16採購案!原訂砸56億美元買20架 駐美大使透露變卦原因 美國4月批准向菲律賓出售20架F-16戰機,預估價值55億8000萬美元,不過根據《彭博》、《路透》等外媒報導指出,菲律賓駐美大使羅慕德斯(Jose Manuel Romualdez)已證實,菲國政府已經擱置此項採購計畫,更坦言「資金是關鍵因素」。針對採購案變卦,羅慕德斯表示,「這項計畫目前已經暫停,主要原因就是資金」,他們還得觀察接下來的預算審議,來決定菲......
SEMI大師論壇》台灣AI能領先全球?吳田玉有信心:我們是唯一敢下重注的賭局玩家 2025 SEMI大師論壇今(10)日登場,十多位國際重量級半導體業界領袖齊聚場暢談「Navigating What's Next:Global Opportunities and Taiwan's Strategic Role」全球機遇與台灣戰略角色。壓軸的爐邊對談,由日月光董事長吳田玉博士與台灣半導體協會理事長侯永清博士共同主持,並與Infineon執行......